首页
>
正文
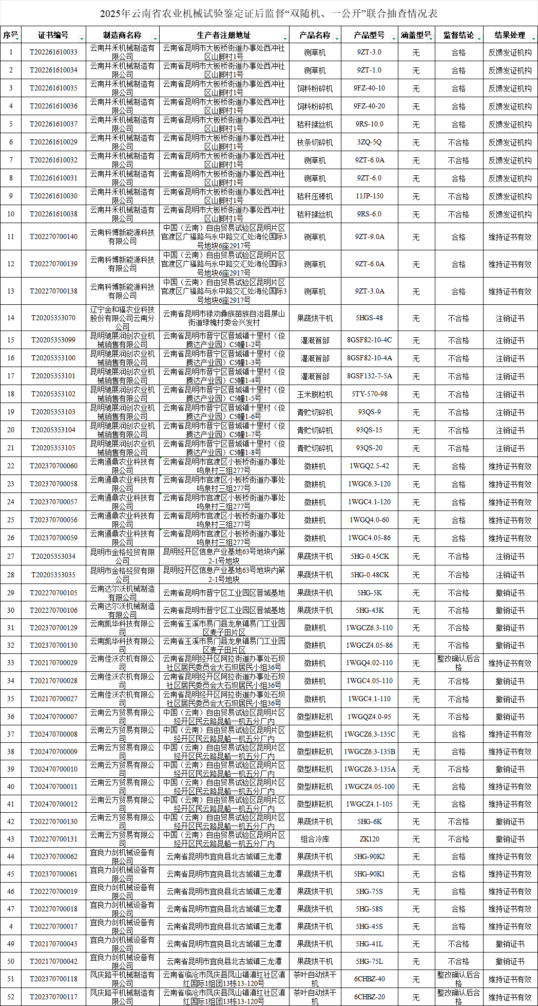
2025年云南省农业机械试验鉴定证后监督“双随机、一公开”联合抽查情况表
来源:云南省农业农村厅农业机械化管理处 2025-11-13 08:57:13
【字体:
大
中
小
】
【字体:
大
中
小
】
| 分享到:
分享到微信
×